JURUSAN FISIKA FAKULTAS ILMU PENGETAHUAN ALAM DAN MATEMATIKA UNIVERSITAS BRAWIJAYA MALANG

PRAKTIKUM FISIKA EKSPERIMEN

DIFRAKSI

Deskripsi :

Praktikum Difraksi celah tunggal dan celah ganda bertujuan untuk membuktikan adanya fenomena difraksi dari berkas cahaya sejajar yang melewati celah tunggal dan celah ganda. Pola dan variasi intensitas difraksi cahaya ini dapat diamati berdasarkan pola gambar grafik yang tercetak oleh Ploter XY. Di mana secara sederhana, prinsip percobaan dalam praktikum ini ialah menembakkan cahaya monokromatis ke arah celah tunggal A, B, dan C yang masing-masing mempunyai lebar dan dengan jarak tertentu. Pola difraksi yang terbentuk ini kemudian diamati dan dibandingkan dengan pola difraksi hasil penembakan berkas cahaya pada jarak yang sama ke arah celah ganda A, B, dan C, yang mempunyai lebar masing-masing celah, berturut-turut sama dengan lebar celah tunggal sebelumnya. Dari perbandingan pola difraksi ini, diharapkan praktikan dapat menghitung masing-masing lebar kisi baik berdasarkan hasil dari celah tunggal ataupun ganda. Selain itu praktikan juga mampu menentukan besar intensitas cahaya yang terdifraksi berdasarkan jarak tiap-tiap orde pola gelap terang yang terbentuk, terhadap terang pusat.

Tujuan :

  1. Mengamati pola yang difraksi pada celah tunggal dan celah ganda
  2. Membuktikan adanya sifat difraksi dari berkas sinar sejajar
  3. Menentukan lebar tiap-tiap celah, baik celah tunggal maupun ganda

Tinjauan Pustaka :

Difraksi merupakan penyebaran gelombang karena adanya kisi atau celah. Semakin kecil lebar halangan atau celah, sudut pembelokan gelombang semakin besar. Hal ini diterangkan dalam prinsip Huygens, yaitu difraksi biasanya membentuk pola gelap dan terang seperti diilustrasikan Gambar 1.2


Gambar 1.2 Pola pembelokan cahaya dengan celah tunggal

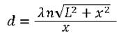
Dengan mengetahui panjang gelombang (λ) sumber cahaya, maka untuk menghitung lebar celah tunggal dapat menggunakan persamaan:

(1.1)

dimana:
λ=panjang gelombang cahaya
n=orde gelombang
d=lebar kisi/celah
L=jarak kisi ke Layar
x=jarak cahaya yang terdifraksi terhadap terang pusat.

Sebuah celah dengan lebar infinitesimal akan mendifraksi sinar cahaya insiden menjadi deretan gelombang circular, dan muka gelombang yang lepas dari celah tersebut akan berupa gelombang silinder dengan intensitas yang uniform.

Eksperimen celah ganda yang dilakukan oleh Thomas Young menunjukkan sifat dualisme cahaya, yaitu sebagai gelombang dan partikel. Sumber cahaya koheren yang menyinari sebuah halangan dengan dua celah selain terdifraksi, cahaya akan membentuk pola interferensi yang berupa pita cahaya yang terang dan gelap pada bidang pengamatan. Sehingga untuk menghitung lebar celah pada celah ganda, pola gelap terang yang dijadikan adalah pola gelap terang mayoritas, bukan pola gelap terang hasil interferensi. Gambar 1.3 merupakan contoh perbandingan pola difraksi hasil pengambilan data menggunakan celah tunggal dan ganda, dan pola gelap terang minoritas merupakan pola gelap terang hasil interferensi.


Gambar 1.3 Perbandingan pola difraksi yang terbentuk
pada celah tunggal dan ganda

Setting Up Rangkaian :

  1. Klik tombol Run yang berada di tengah bawah aplikasi.
  2. Pasangkan celah tunggal ke penyangga.
  3. Pasangkan penyangga yang sudah dipasangi celah, ke pengait yang berada diantara sumber sinar dan Plotter XY.
  4. Sesuaikan posisi celah pada kisi A, sehingga terbentuk pola gelap terang dibelakang Plotter XY.
  5. Double klik bagian depan Plotter XY, untuk menampilkan/menyembunyikan tampilan visual proyeksi atas Plotter XY, sekaligus proyeksi depan pola gelap terang hasil difraksi kisi.
  6. Double klik pengait untuk menampilkan/menyembunyikan bar jarak pengait dengan solar sel.
  7. Double klik proyeksi depan pola difraksi untuk menampilkan/menyembunyikan penggaris.
  8. Set axis Y Plotter XY pada 1 mV/cm dan waktu pada ≥0.1 s/cm. Klik switch pena kearah pen, tombol power kearah 1 dan jika rangkaian semua sudah siap, klik tombol switch ke arah start atau rep untuk memulai plotting.
  9. Arahkan button waktu ke arah x, untuk mengembalikan posisi pena Plotter XY ke posisi semula.
  10. Catat jarak pengait ke solar sel (L), dan jarak pola terang masing-masing orde ke terang pusat (x).
  11. Double klik kertas grafik yang telah terisi plot hasil difraksi, untuk memperbesar atau memindahkannya ke posisi lain untuk diganti dengan kertas yang baru.
  12. Tekan saklar ruang, jika diperlukan tampilan simulasi dalam ruang gelap.
  13. Ulangi langkah 4-10, untuk kisi B, C, dan juga kisi A, B, dan C pada celah ganda.
  14. Tekan tombol Reset, yang berada disamping tombol Run jika setiap kali terjadi crash pada aplikasi.

Video Tutorial:

untuk melihat video tutorial penggunaan aplikasi ini, dapat dilihat di sini.

Pengambilan Data :

Sebagaimana telah disebutkan sebelumnya, persamaan 1.1 adalah persamaan yang digunakan untuk menghitung lebar kisi, di mana Gambar 1.2 merupakan contoh pola difraksi yang terbentuk dari hasil difraksi celah tunggal dan ganda. Oleh karena itu, dengan mengambil nilai λ = 633 nm (laser He-Ne), data-data yang perlu diambil dari percobaan ini, untuk tiap-tiap celah A, B, dan C masing-masing celah antara lain:

  1. Jarak antara pengait ke solar sel, sebagai L.
  2. Jarak pembelokan cahaya untuk masing-masing orde terang, sebagai x.
  3. Gambar plot intensitas difraksi yang ditangkap oleh solar sel melalui Plotter XY.

Berikut contoh tabel dan gambar grafik hasil pengambilan data:

Tabel 1.1 Contoh tabel pengambilan data pada celah tunggal A


Gambar 1.4 grafik hasil plotting Plotter XY kisi celah tunggal

Catatan:
Tabel di atas merupakan tabel contoh pengambilan data, yang jika dinilai kurang atau kurang sesuai, praktikan dapat memodifikasi Tabel 1.1 tersebut sesuai kebutuhan masing-masing dan dapat mempergunakan tabel hasil modifikasi untuk tabel pengambilan data celah tunggal B, C dan juga masing-masing kisi pada celah ganda.

Analisa Data :

Berdasarkan data hasil percobaan difraksi celah tunggal dan celah ganda di atas, hal-hal yang perlu dijelaskan dan dibandingkan dengan literatur antara lain:

  1. Analisa pola difraksi dari masing-masing kisi celah tunggal dan celah ganda.
  2. Analisa perbedaan pola difraksi masing-masing kisi celah tunggal dan ganda.
  3. Teknik penentuan lebar, berikut nilai lebar yang diperoleh untuk masing-masing kisi, baik celah tunggal maupun ganda.

Referensi :

Anonymous. 2010. Petunjuk Praktikum Fisika Eksperimen II. Laboratorium Fisika Lanjutan Jurusan Fisika FMIPA Universitas Brawijaya. Malang

Authorisasi :

Simulator Praktikum Fisika Eksperimen ini ditujukan untuk membantu pelaksanaan pratikum Fisika Eksperimen yang diadakan di Laboratorium Fisika Lanjutan Jurusan Fisika FMIPA Universitas Brawijaya Malang. Aplikasi ini dapat digunakan untuk kepentingan pribadi, namun tidak diperkenankan untuk meng-copy, merubah, memodifikasi, atau menggandakannya untuk kepentingan komersil dalam bentuk apapun, baik sebagian atau keseluruhan konten, tanpa izin tertulis dari Creator.

Kritik, saran atau pertanyaan dapat dilayangkan melalui email di : uboiz@yahoo.com.

Tim Penyusun (Creator)
Penanggung Jawab :
Drs. Unggul Punjung Juswono, M.Sc.

Programmer :
Drs. Sugeng Rianto, M.Sc.
Dr. Eng Agus Naba, S. Si., M. T, Ph. D.
Ubaidillah, S. Si.


Dibuat dengan Greenfoot - www.greenfoot.org