JURUSAN FISIKA FAKULTAS ILMU PENGETAHUAN ALAM DAN MATEMATIKA UNIVERSITAS BRAWIJAYA MALANG

PRAKTIKUM FISIKA EKSPERIMEN

INTERFERENSI GELOMBANG BUNYI

Deskripsi :

Prinsip percobaan ini adalah dengan melewatkan gelombang bunyi pada layar yang bercelah untuk menghasilkan interferensi gelombang bunyi. Dalam kasus gelombang cahaya, dua berkas cahaya atau lebih, dapat berinterferensi yang ditandai dengan terbentuknya pola gelap terang pada layar. Pada gelombang bunyi juga dapat terjadi pola gelap terang tersebut, namun pola gelap terang hasil interferensi ditandai dengan nilai intensitas bunyi yang maksimum, sedangkan pola gelap ditandai dengan nilai intensitas bunyi yang minimum, bahkan nol. Karena percobaan ini mencari pola gelap terang yang terjadi pada gelombang bunyi, oleh karena itu diperlukan Universal Microphone untuk mengetahui pola gelap terang, sekaligus posisi interferensi dari dua gelombang bunyi yang se-fase.

Tujuan :

  1. Membuktikan adanya sifat interferensi pada gelombang bunyi dengan mengamati pola difraksi 2 celah.
  2. Menentukan posisi per orde gelap dan terang dari hasil interferensi gelombang bunyi.

Tinjauan Pustaka :

Interferensi gelombang merupakan perpaduan antara 2 gelombang atau lebih. Interferensi tersebut dapat saling menguatkan (maksima) atau melemahkan (minima) yang dalam gelombang bunyi ditandai oleh ketinggian amplitudo intensitasnya. Dalam hal lain, interferensi dapat terjadi pula karena terdapat 2 gelombang yang bertemu pada waktu yang bersamaan, di mana terjadi interferensi konstruktif bila gelombang yang bertemu mempunyai fase yang sama, sedangkan interferensi destruktif bila fase masing-masing gelombang berbeda sebesar π.


Gambar 5.2. Percobaan celah ganda (Sumber: http://h2physics.org/?cat=47)

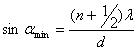
Sudut maksima αmax tiap orde, yang ditandai bagian terang, secara teori dapat diketahui menggunakan persamaan 5.1. Sedangkan sudut minima αmin tiap orde, yang ditandai bagian gelap, dapat diketahui menggunakan persamaan 5.2. Sudut maksima minima tersebut tidak lain adalah sudut arah terjadinya interferensi pada gelombang.


Gambar 5.3. Sudut α pada interferensi 2 celah

         (5.1)
         (5.2)

dengan nilai n = 0, 1, 2, …                                                      

di mana:
n = orde
α = sudut maxima/minima
d = jarak antar celah
λ = panjang gelombang bunyi

Setting Up Rangkaian :

  1. Klik tombol Run yang berada di tengah bawah aplikasi.
  2. Sambungkan Loundspeaker ke Signal Generator.
  3. Set frekuensi output Signal Generator pada frekuensi ≥2.000 Hz dan ≤ 20.000 Hz, dengan tombol putar AC dan DC pada Value ≥ 0.
  4. Sambungkan Signal Generator ke Osciloscope sebagai input Channel 1, dan sambungkan Universal Microphone ke Channel 2.
  5. Nyalakan Osciloscope, set mode ke dual Channel. Atur posisi vartical masing-masing Channel agar sinyal input tidak berhimpit.
  6. Arahkan mouse ke pengait penyangga Microphone untuk mengetahui informasi, Jarak speaker ke kisi, lebar per celah, jarak antar celah (d), dan jarak ujung Microphone ke kisi.
  7. Nyalakan Signal Generator, atur Time/div dan Volt/div masing-masing Channel Osciloscope sehingga sinyal input dapat ditampilkan.
  8. Double klik celah untuk menampilkan atau menyembunyikan proyeksi depan celah, geser penutup celah sehingga terbuka 2 celah saja.
  9. Geser maju atau mundur Microphone, untuk mendapatkan tampilan sinyal output Channel 2 yang terbaik.
  10. Untuk Pergeseran ke kiri dan ke kanan, double klik penyangga/pengait Microphone, untuk menampilkan/menyembunyikan proyeksi samping Microphone terhadap celah.
  11. Geser microphone ke kiri atau ke kanan, catat posisi maxima dan minima pola interferensi gelombang yang terdeteksi sebagai data hasil percobaan.
  12. Tekan tombol Reset, yang berada disamping tombol Run jika setiap kali terjadi crash pada aplikasi.

Video Tutorial:

untuk melihat video tutorial penggunaan aplikasi ini, dapat dilihat di sini.

Pengambilan Data :

Data yang diambil dari percobaan ini adalah letak di mana posisi maksima/minima inetrferensi gelombang bunyi yang terjadi dan besar intensitasnya. Gambar 5.4 adalah ilustrasi pembentukan pola maxima dan minima, yang dalam percobaan ini L sebagai jarak celah ke ujung Microphone dan x sebagai jarak simpangan Microphone ke kiri atau ke kanan dari terang pusat/titik tengah celah. Tabel 5.1 merupakan contoh pengambilan data dengan U sebagai besar tegangan output yang tercatat pada layar Osciloscope.


Gambar 5.4 Pembentukan pola maxima/minima
interferensi celah ganda gelombang bunyi

Tabel 5.1 contoh tabel pengambilan data

Catatan:
Tabel pengambilan data di atas dapat dimodifikasi/ditambah/diganti sesuai kebutuhan.

Analisa Data :

Problem yang menjadi pokok pembahasan praktikum ini adalah:

  1. Penjelasan mengenai nterferensi gelombang bunyi berdasarkan hasil percobaan yang telah dilakukan.
  2. Nilai maxima dan minima per orde yang di dapatkan.
  3. Penjelasan mengenai variasi intensitas gelombang bunyi per maxima dan minima, serta hubungannya dengan besar simpangan ke kiri atau ke kanan masing-masing orde.

Referensi :

Anonymous. 2010. Petunjuk Praktikum Fisika Eksperimen II. Laboratorium Fisika Lanjutan Jurusan Fisika FMIPA Universitas Brawijaya. Malang

Cheng, Poon Siew. 2012. Interference. http://h2physics.org/?cat=47. (diakses tanggal: 10 Oktober 2012)

Authorisasi :

Simulator Praktikum Fisika Eksperimen ini ditujukan untuk membantu pelaksanaan pratikum Fisika Eksperimen yang diadakan di Laboratorium Fisika Lanjutan Jurusan Fisika FMIPA Universitas Brawijaya Malang. Aplikasi ini dapat digunakan untuk kepentingan pribadi, namun tidak diperkenankan untuk meng-copy, merubah, memodifikasi, atau menggandakannya untuk kepentingan komersil dalam bentuk apapun, baik sebagian atau keseluruhan konten, tanpa izin tertulis dari Creator.

Kritik, saran atau pertanyaan dapat dilayangkan melalui email di : uboiz@yahoo.com.

Tim Penyusun (Creator)
Penanggung Jawab :
Drs. Unggul Punjung Juswono, M.Sc.

Programmer :
Drs. Sugeng Rianto, M.Sc.
Dr. Eng Agus Naba, S. Si., M. T, Ph. D.
Ubaidillah, S. Si.


Dibuat dengan Greenfoot - www.greenfoot.org