Praktikum percobaan Milikan ini bertujuan untuk mengetahui nilai muatan elektron sebagaimana yang dilakukan oleh R. A. Milikan tahun 1913. Metodenya adalah dengan mengatomisasi minyak dan menghitung besar muatannya, yang diasumsikan sebagai kelipatan muatan dari satu elektron. Dengan mengambil dan membandingkan beberapa muatan tetesan minyak yang berbeda, maka akan dapat digunakan untuk menebak muatan per elektron dengan menentukan terlebih dahulu jumlah elektron yang ada pada tiap tetesan minyak.
Menentukan muatan elektron berdasarkan muatan tetesan minyak yang diatomisasi dan berada di antara dua plat yang bermuatan.
Prinsip dasar percobaan Milikan adalah untuk mengetahui muatan yang dimiliki tetesan minyak yang disemprotkan dalam Milikan Chamber. Proses ini merupakan proses atomisasi, di mana setiap tetesan minyak diasumsikan akan bermuatan sesuai dengan persamaan 1 (dengan N = jumlah elektron dan e = muatan elektron). Dengan mengetahui dan membandingkan nilai muatan tetesan minyak yang berbeda, maka akan dapat menebak muatan tetesan minyak tersebut sebagai muatan yang berasal dari elektron dan berjumlah n.

Jika suatu tetesan minyak berada pada dua plat kapasitor dengan jarak d dan tegangan sebesar U (Gambar 2), terdapat gaya-gaya yang mempengaruhi antara lain:
Untuk gerakan tetesan minyak ke bawah tanpa tegangan dari plate dengan kecepatan v1, gaya-gaya yang mempengaruhi terdapat tiga gaya yaitu gaya berat, gaya angkat dan gaya Stokes (ilustrasi Gambar 2).

Sehingga :
dengan m = moil - mL. Kemudian dengan asumsi volume tetesan minyak sebagai bola V = (4/3)πr3 dan ρoil - ρL = ρ, maka persamaan 2 akan dapat diturunkan menjadi:
dari sini dapat didapatkan persamaan untuk nilai jari-jari tetesan minyak sesuai dengan persamaan 3:
| r = [ | 9ηrv1 | ]1/2 |
| 2ρg |
Namun jika tegangan U diberikan pada plate, dengan plate bagian atas berupa tegangan positif dan tetes minyak dapat bergerak ke atas dengan kecepatan v2, persamaan gaya-gaya yang mempengaruhi tetes minyak tersebut (ilustrasi Gambar 3) adalah :

dengan E=U/d dan mg=(4/3)πr3ρg sehingga didapatkan :
Gaya gesek Stokes tidak berpengaruh apabila tetesan minyak dalam keadaan diam mengambang, oleh karena itu persamaan 5 menjadi:
Catatan:
Karena pengamatan menggunakan Microscope, sehingga arah gerakan tetesan minyak menjadi terbalik. Dengan arah gerakan tetes minyak yang tampak ke atas sebenarnya adalah gerakan tetes minyak yang mengarah ke bawah, dan gerakan yang tampak ke bawah sebenarnya adalah gerakan tetes minyak yang mengarah ke atas.
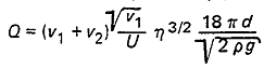
Metode untuk mengetahui muatan tetes minyak (Q) dalam praktikum ini dapat menggunakan dua metode, pertama metode statik dan yang kedua metode dinamik. Untuk metode statik tetes minyak yang diamati adalah tetesan minyak yang dapat seimbang pada nilai tegangan tertentu (U), dan dengan kecepatan yang dicatat adalah kecepatan tetes minyak yang mengarah ke bawah (v1) setelah tegangan dimatikan, sehingga gerak minyak yang terjadi adalah hanya akibat gravitasi bumi dan gesekan dengan udara. Untuk metode statik ini persamaan yang digunakan adalah persamaan 7, yang merupakan substitusi persamaan 3 ke persamaan 6. Sedangkan untuk metode dinamik bukan kecepatan ke bawah saja yang dicatat, namun juga mengamati gerakan tetesan minyak yang mengarah ke atas (v2) pada suatu nilai tegangan tertentu (U), dengan syarat ketika tegangan dimatikan tetesan minyak dapat bergerak ke bawah lagi sebagai v1, seperti yang terjadi pada metode statik sebelumnya. Kedua kecepatan ini dapat dihitung mengunakan pencatat counter (counter 1 sebagai waktu tempuh gerakan tetes minyak yang mengarah ke bawah dan counter 2 sebagai waktu tempuh gerakan ke atas) dan dalam range jarak yang sama. Persamaan 2 tidak lain adalah persamaan yang digunakan untuk menghitung muatan tetes minyak dengan metode dinamik dan merupakan hasil substitusi persamaan 3 ke persamaan 5.


dimana:
Jarak yang ditempuh tetes minyak, yang tampak pada layar Microscope, bukanlah jarak yang ditempuh tetes minyak sebenarnya. Untuk konversinya adalah dengan menghitung jarak yang ditempuh dari hasil pengamatan (mis. x) ke jarak sesungguhnya (mis. s) menggunakan persamaan 9 berikut ini:

Contoh tabel pengambilan data:
Metode Statik
U = ...
d = ...
| No | Jarak skala Microscope (x) | Jarak Sesungguhnya (s) | tke bawah | v1 | Q |
Metode Dinamik
U = ...
d = ...
| No | Jarak skala Microscope (x) | Jarak Sesungguhnya (s) | tke bawah | tke atas | v1 | v2 | Q |
*tabel ini dapat dimodifikasi sesuai kebutuhan.
Kemudian dari masing-masing tabel di atas dibuat grafik hubungan muatan tetesan minyak Q dan jumlah tetesan n yang bermuatan sama, yang digunakan untuk menebak muatan per elektron.

Gambar 4. Contoh grafik hubungan n dan Q.
Catatan:
untuk keterangan lebih lanjut dapat dibaca pada modul praktikum Fisika Eksperimen yang diberikan ketika pelaksanaan praktikum yang sesungguhnya.
Hal-hal yang perlu dibahas oleh praktikan dari pelaksanaan percobaan ini antara lain:
Anonymous. 2010. Petunjuk Praktikum Fisika Eksperimen II. Laboratorium Fisika Lanjutan Jurusan Fisika FMIPA Universitas Brawijaya. Malang
Simulator Praktikum Fisika Eksperimen: Percobaan Milikan ini ditujukan untuk membantu pelaksanaan pratikum Fisika Eksperimen yang diadakan di Laboratorium Fisika Lanjutan Jurusan Fisika FMIPA Universitas Brawijaya Malang. Aplikasi ini dapat digunakan untuk kepentingan pribadi, namun tidak diperkenankan untuk meng-copy, merubah, memodifikasi, atau menggandakannya untuk kepentingan komersil dalam bentuk apapun, baik sebagian atau keseluruhan konten, tanpa izin tertulis dari Creator.
Kritik, saran atau pertanyaan dapat dilayangkan melalui emal di : uboiz@yahoo.com.
Tim Penyusun (Creator)Programmer :
Drs. Sugeng Rianto, M.Sc.
Dr. Eng Agus Naba, S. Si., M. T, Ph. D.
Ubaidillah, S. Si.